产品中心

联系方式

地址:广东省佛山市南海区平洲永安中路
销售部:侯经理
电话:13432286953

低压电缆 您现在的位置: 首页>>产品中心>>低压电缆

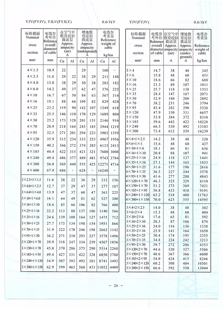
NH-YJV型号电缆
2024-01-27 作者:超级管理员 浏览:0


型号:NH-YJV

电压:0.6/1KV

定义:交联聚乙烯绝缘 聚氯乙烯护套耐火电缆。

详细介绍:本产品适用于交流额定电压0.6/1KV及以下的电力工程,耐火电缆是在火灾的情况下,在一段时间内电缆能正常进行工作,并保证正常供电和传输信号,提供照明等。


上一篇: YJV型号电缆